Исходя из определения производной найти f составить уравнение нормали или уравнение касательной читать онлайн бесплатно

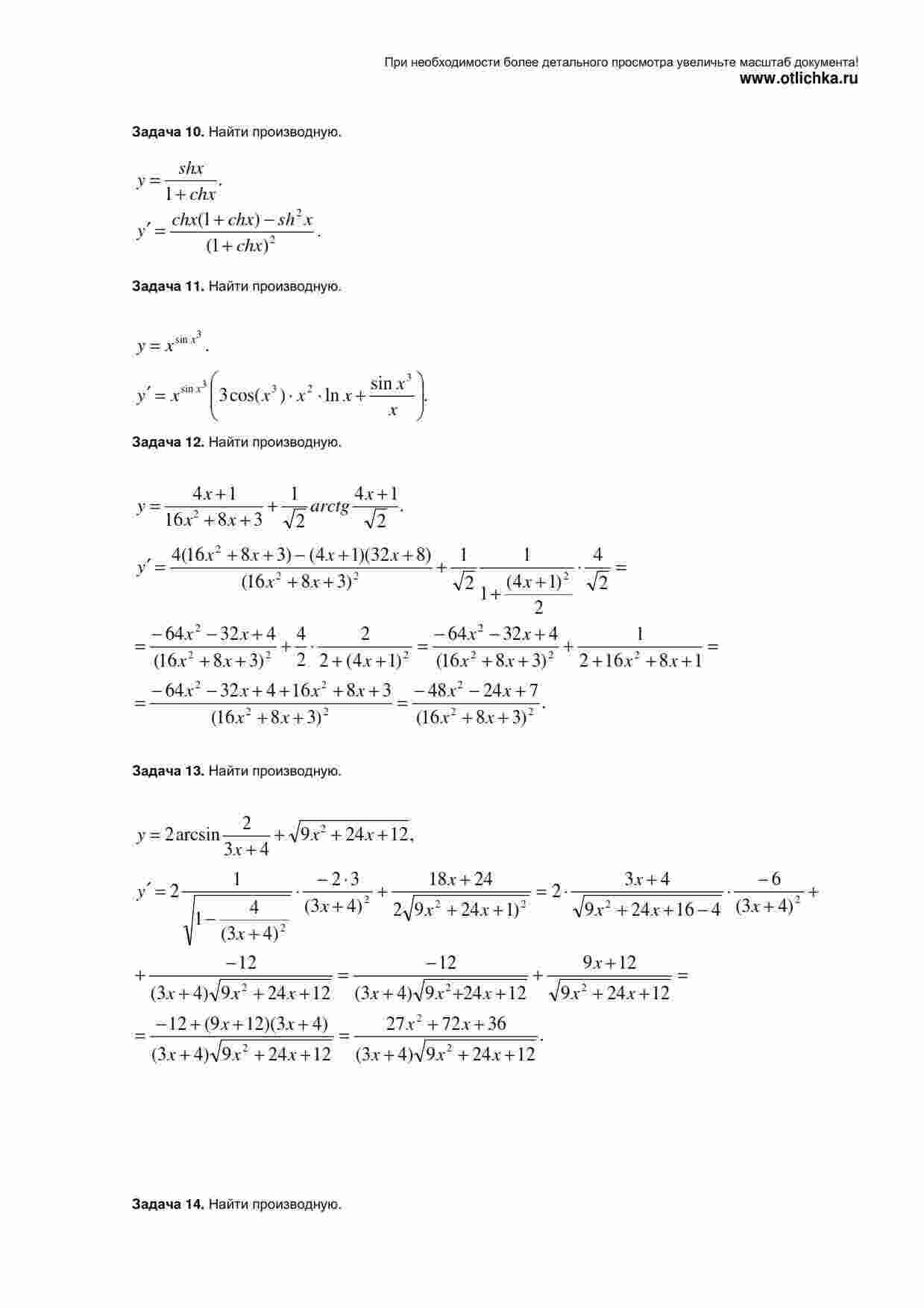
Описание книги: "Исходя из определения производной найти f, составить уравнение нормали или уравнение касательной" - это книга, которая предоставляет читателям уникальную возможность понять производные функций с помощью определения и научиться составлять уравнения нормалей и касательных к графикам функций. Авторы начинают с введения в определение производной и его практическое применение. Затем они предоставляют читателям задачи разной сложности, которые требуют нахождения производных функций и составления уравнений нормалей и касательных. Каждая задача снабжена подробным описанием и пошаговым решением, что помогает читателям легко разобраться в методике нахождения производных и составления уравнений. Книга также включает в себя примеры, демонстрирующие применение производных и уравнений нормалей и касательных в реальных ситуациях. "Исходя из определения производной найти f, составить уравнение нормали или уравнение касательной" подходит для студентов, изучающих математику и математический анализ, а также для всех, кто интересуется прикладными аспектами производных функций. Также на сайте - Учебники-книги-вуз-школа.ком вы можете смотреть, читать и скачать множество других бесплатных рабочих тетрадей и образовательных материалов для обучения школьников и студентов вузов (техникумов, колледжей, университетов, институтов). В учебном пособии вы найдете ответы на свои вопросы, но оно не является ГДЗ (решебником) и не относится к формату pdf (пдф).
Страницы: 1; 2; 3; 4; 5; 6.