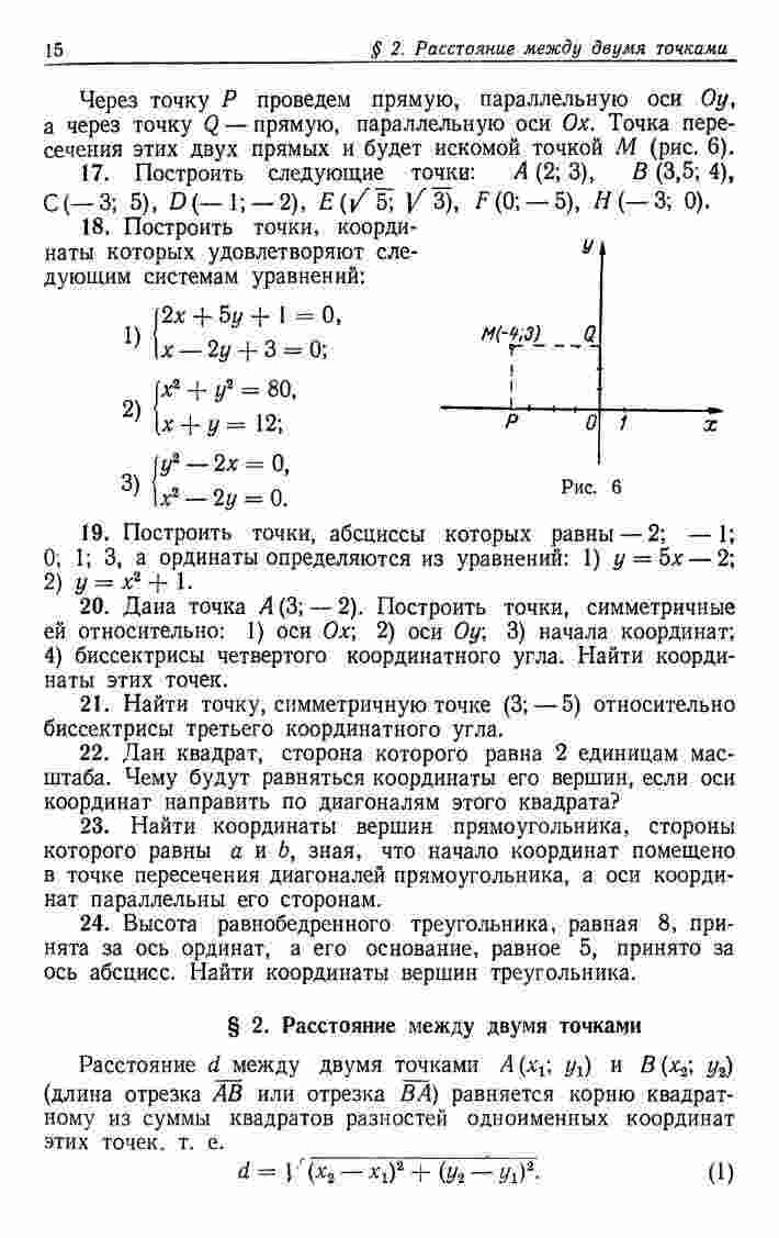
Руководство к решению задач по высшей математике теории вероятностей и математической статистике Лихолетов Мацкевич читать онлайн бесплатно

Описание книги: "Руководство к решению задач по высшей математике, теории вероятностей и математической статистике" от авторов Лихолетова и Мацкевича представляет собой комплексное руководство по решению задач в области высшей математики, теории вероятностей и математической статистики. Книга предназначена для студентов и всех, кто интересуется этими математическими областями. Особенности этого руководства включают: Обширный выбор задач, охватывающих разные аспекты математики и статистики. Подробные решения ко всем задачам с пошаговыми объяснениями. Советы по выбору методов и стратегии решения задач. Практические примеры и приложения математических методов. Книга поможет читателям развить навыки анализа и решения математических задач, а также лучше понять математические концепции и их применение в практике. Она может быть полезной как студентам, так и специалистам, работающим в области математики и статистики. Также на сайте - Учебники-книги-вуз-школа.ком вы можете смотреть, читать и скачать множество других бесплатных рабочих тетрадей и образовательных материалов для обучения школьников и студентов вузов (техникумов, колледжей, университетов, институтов). В учебном пособии вы найдете ответы на свои вопросы, но оно не является ГДЗ (решебником) и не относится к формату pdf (пдф).
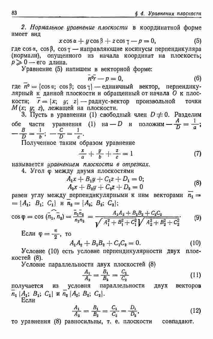
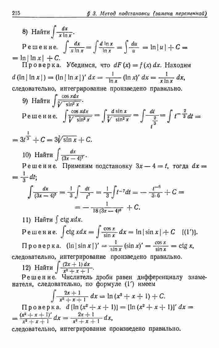
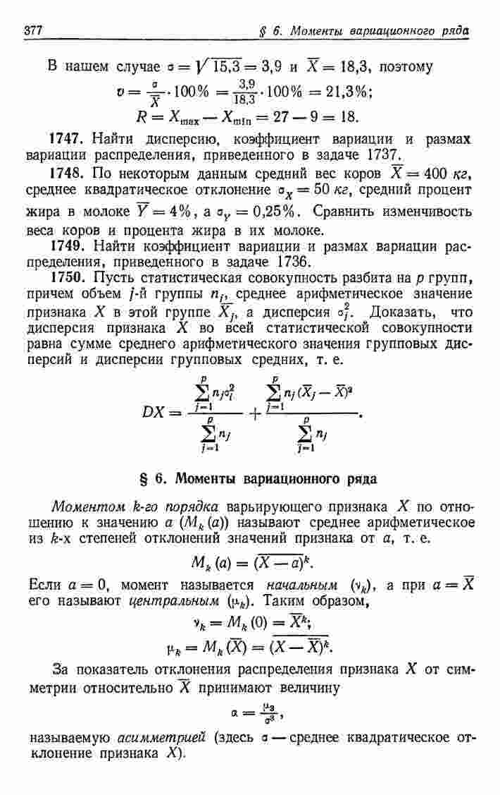
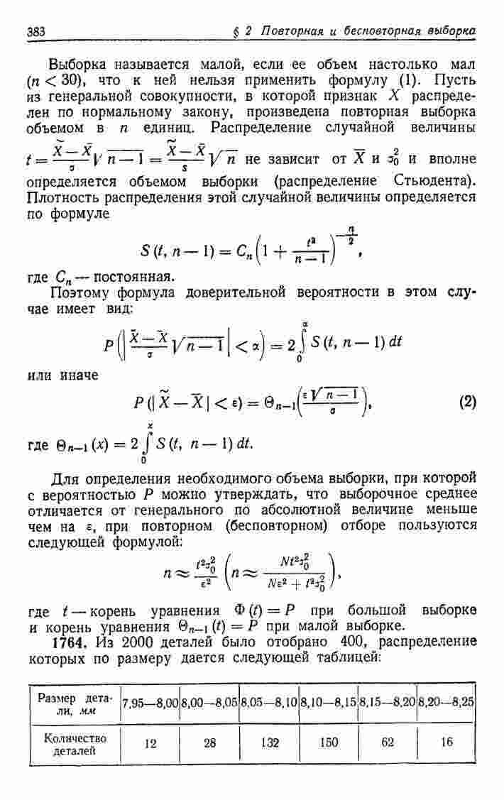
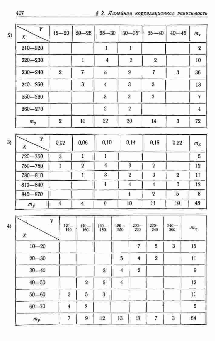
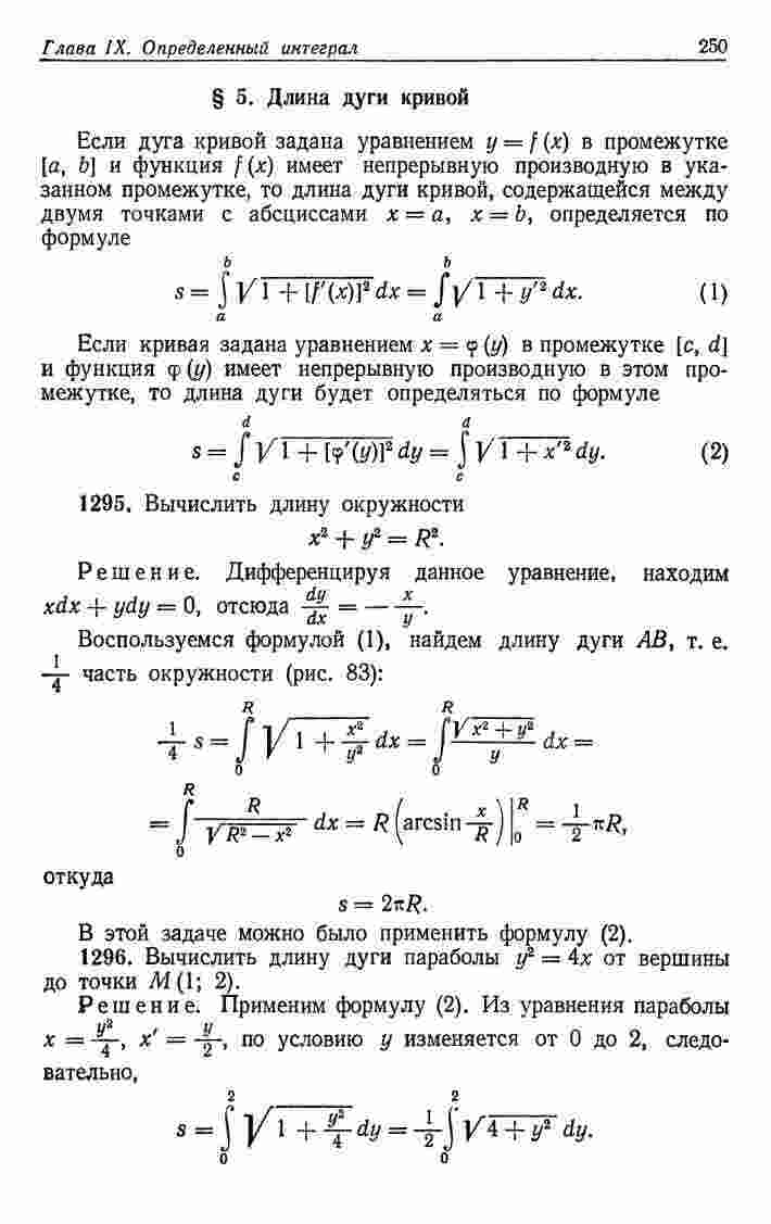
Страницы: 1; 2; 3; 4; 5; 6; 7; 8; 9; 10; 11; 12; 13; 14; 15; 16; 17; 18; 19; 20; 21; 22; 23; 24; 25; 26; 27; 28; 29; 30; 31; 32; 33; 34; 35; 36; 37; 38; 39; 40; 41; 42; 43; 44; 45; 46; 47; 48; 49; 50; 51; 52; 53; 54; 55; 56; 57; 58; 59; 60; 61; 62; 63; 64; 65; 66; 67; 68; 69; 70; 71; 72; 73; 74; 75; 76; 77; 78; 79; 80; 81; 82; 83; 84; 85; 86; 87; 88; 89; 90; 91; 92; 93; 94; 95; 96; 97; 98; 99; 100; 101; 102; 103; 104; 105; 106; 107; 108; 109; 110; 111; 112; 113; 114; 115; 116; 117; 118; 119; 120; 121; 122; 123; 124; 125; 126; 127; 128; 129; 130; 131; 132; 133; 134; 135; 136; 137; 138; 139; 140; 141; 142; 143; 144; 145; 146; 147; 148; 149; 150; 151; 152; 153; 154; 155; 156; 157; 158; 159; 160; 161; 162; 163; 164; 165; 166; 167; 168; 169; 170; 171; 172; 173; 174; 175; 176; 177; 178; 179; 180; 181; 182; 183; 184; 185; 186; 187; 188; 189; 190; 191; 192; 193; 194; 195; 196; 197; 198; 199; 200; 201; 202; 203; 204; 205; 206; 207; 208; 209; 210; 211; 212; 213; 214; 215; 216; 217; 218; 219; 220; 221; 222; 223; 224; 225; 226; 227; 228; 229; 230; 231; 232; 233; 234; 235; 236; 237; 238; 239; 240; 241; 242; 243; 244; 245; 246; 247; 248; 249; 250; 251; 252; 253; 254; 255; 256; 257; 258; 259; 260; 261; 262; 263; 264; 265; 266; 267; 268; 269; 270; 271; 272; 273; 274; 275; 276; 277; 278; 279; 280; 281; 282; 283; 284; 285; 286; 287; 288; 289; 290; 291; 292; 293; 294; 295; 296; 297; 298; 299; 300; 301; 302; 303; 304; 305; 306; 307; 308; 309; 310; 311; 312; 313; 314; 315; 316; 317; 318; 319; 320; 321; 322; 323; 324; 325; 326; 327; 328; 329; 330; 331; 332; 333; 334; 335; 336; 337; 338; 339; 340; 341; 342; 343; 344; 345; 346; 347; 348; 349; 350; 351; 352; 353; 354; 355; 356; 357; 358; 359; 360; 361; 362; 363; 364; 365; 366; 367; 368; 369; 370; 371; 372; 373; 374; 375; 376; 377; 378; 379; 380; 381; 382; 383; 384; 385; 386; 387; 388; 389; 390; 391; 392; 393; 394; 395; 396; 397; 398; 399; 400; 401; 402; 403; 404; 405; 406; 407; 408; 409; 410; 411; 412; 413; 414; 415; 416; 417; 418; 419; 420; 421; 422; 423; 424; 425; 426; 427; 428; 429; 430; 431; 432; 433; 434; 435; 436; 437; 438; 439; 440; 441; 442; 443; 444; 445; 446; 447; 448; 449; 450; 451; 452; 453.