Сборник задач по математике для поступающих во втузы Алгебра Сканави книга 1 читать онлайн бесплатно

Описание книги: "Сборник задач по математике для поступающих во втузы. Алгебра. Книга 1" от Сканави – это незаменимый ресурс для студентов, готовящихся к поступлению в высшие учебные заведения и сдающих вступительные экзамены по алгебре. Эта книга предоставляет обширный набор задач и упражнений, охватывающих различные аспекты алгебры. Книга включает в себя задачи разной сложности, начиная с базовых и постепенно переходя к более сложным и интересным. Она предоставляет подробные решения и объяснения ко всем задачам, что помогает студентам лучше понимать методы решения и развивать свои алгебраические навыки. Этот сборник задач станет незаменимым помощником для студентов, готовящихся к вступительным экзаменам и желающих успешно справиться с алгеброй. Также на сайте - Учебники-книги-вуз-школа.ком вы можете смотреть, читать и скачать множество других бесплатных рабочих тетрадей и образовательных материалов для обучения школьников и студентов вузов (техникумов, колледжей, университетов, институтов). В учебном пособии вы найдете ответы на свои вопросы, но оно не является ГДЗ (решебником) и не относится к формату pdf (пдф).
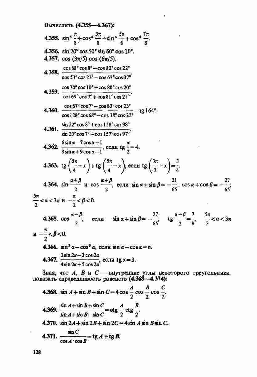
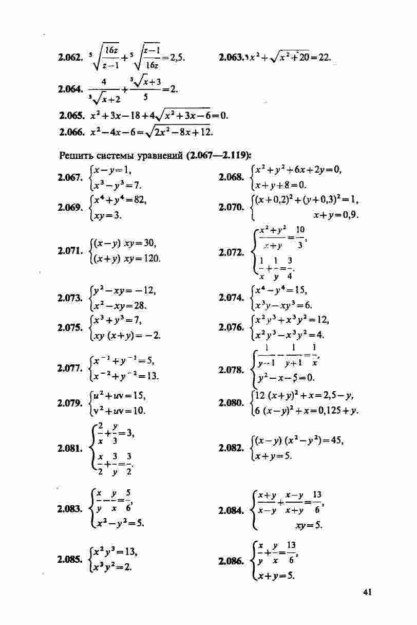
Страницы: 1; 2; 3; 4; 5; 6; 7; 8; 9; 10; 11; 12; 13; 14; 15; 16; 17; 18; 19; 20; 21; 22; 23; 24; 25; 26; 27; 28; 29; 30; 31; 32; 33; 34; 35; 36; 37; 38; 39; 40; 41; 42; 43; 44; 45; 46; 47; 48; 49; 50; 51; 52; 53; 54; 55; 56; 57; 58; 59; 60; 61; 62; 63; 64; 65; 66; 67; 68; 69; 70; 71; 72; 73; 74; 75; 76; 77; 78; 79; 80; 81; 82; 83; 84; 85; 86; 87; 88; 89; 90; 91; 92; 93; 94; 95; 96; 97; 98; 99; 100; 101; 102; 103; 104; 105; 106; 107; 108; 109; 110; 111; 112; 113; 114; 115; 116; 117; 118; 119; 120; 121; 122; 123; 124; 125; 126; 127; 128; 129; 130; 131; 132; 133; 134; 135; 136; 137; 138; 139; 140; 141; 142; 143; 144; 145; 146; 147; 148; 149; 150; 151; 152; 153; 154; 155; 156; 157; 158; 159; 160; 161; 162; 163; 164; 165; 166; 167; 168; 169; 170; 171; 172; 173; 174; 175; 176; 177; 178; 179; 180; 181; 182; 183; 184; 185; 186; 187; 188; 189; 190; 191; 192; 193; 194; 195; 196; 197; 198; 199; 200; 201; 202; 203; 204; 205; 206; 207; 208; 209; 210; 211; 212; 213; 214; 215; 216; 217; 218; 219; 220; 221; 222; 223; 224; 225; 226; 227; 228; 229; 230; 231; 232; 233; 234; 235; 236; 237; 238; 239; 240; 241; 242; 243.